
ジェノグラムとエコマップは、複雑化する子供の環境理解に有効で、家庭支援の際に欠かせないものとなってきています。
では、ジェノグラム・エコマップとは何かという基本から、実際の記入例まで、これから保育園で活用しようと考えている方などの役に立つ情報をまとめ、詳しく紹介していきたいと思います。
子供や保護者と深く関わる保育の現場では、様子の気になる子供や保護者がいたり、子供や保護者からさまざまな相談を受けたりと、解決が必要な問題に触れる事が多くあります。
また、そういった問題は、子供を取り巻く環境変化と共に複雑化しており、簡単に解決へつながるものではありません。
問題を解決する為には、まず対象者がおかれている複雑な環境の理解が必要です。
そこで、対象の子供や保護者を取り巻く環境の把握の為に、ジェノグラムとエコマップの作成が求められます。
家庭環境や周囲とのつながりを視覚的に把握する事で、そこから問題点を探ったり、解決の必要な部分が見えてきたりします。例えば、虐待やネグレクトの可能性など、気がつかずにそのままにしてしまうと、子供に重大な影響を及ぼすような問題にも気がつく事もあります。
ジェノグラムとエコマップを活用し、子供を取り巻く環境を理解した上で、問題がなぜ起こっているのか、今後誰にどのような働きかけが必要なのか等のアセスメントを行い、必要とされる適切な支援へとつなげていく事が大切です。
ジェノグラムとは、3世代以上の家族・親族関係を図式化したもので、家系図のようなものです。家族の構成を、視覚的に表し、保育現場では、子供を通した家族を理解するのに役立ちます。ジェノグラムは支援の必要な対象者を中心に、家族構成や関係を、記号を使って表わし、家族状況を把握します。
ジェノグラムからは、
を把握する事ができ、また家族支援を行うに当たってのキーとなる人物を見つける材料ともなります。複雑化している子供の家庭環境を、言葉で理解しようとして難しいものも、ジェノグラムを作成することで、目で見てシンプルに理解しやすくなります。
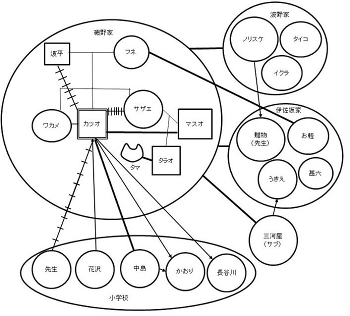
では、実際にどのように書けばいいのか、日本の家族としておなじみサザエさんの磯野家を例に、ジェノグラムを作成してみましょう。今回は支援の対象者をカツオくんとして考えてみます。
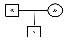
まずは、磯野家のジェノグラムを作成する前に、ジェノグラムで使用する記号について、一般的なものを確認しておきましょう。
性別の表わし方
年齢の記載→図形の中もしくは下に記入
対象者の記載→2重線で記載
生死について→亡くなっている場合は黒塗りにするか、×印を書く。妊娠中の場合は△印を書く
婚姻関係→図形同士を実線で結ぶ。子供がいる場合は、婚姻の線中央から下に実線でぶらさげる
離婚→婚姻の実践に斜めの二重線で区切る。別居の場合は一重線で区切る
同棲・・・図形同士を波線で結ぶ
再婚・・・対象となる人から横につなげていく
同居している家族は曲線で囲みます。
【上記の図形の場合】
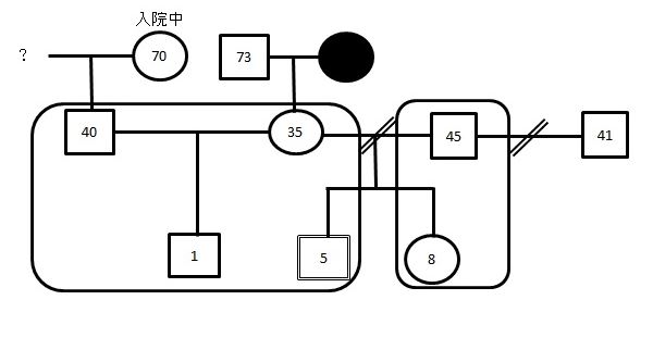
いよいよ、磯野家のカツオくんを対象児と考えると、次のようなジェノグラムが作成できます。
このように、図で表してみると、確かにカツオくんとイクラちゃんの関係も、言葉で説明するよりもとても解りやすくなりますね。波平が、ノリスケによくつっこむのも、なるほど納得、妹の子供だったのですね。図で表す事で伝わる効果は絶大です。
親族・家族関係(婚姻や血縁関係などの事実に基づく)
関係者・関係機関(周辺からの情報や個人の見方により作成される)
上記を見てわかるように、支援対象者の親族関係・家族関係を図表で表したものがジェノグラムであり、婚姻などの事実に基づいて作成されます。
エコマップは、対象者の関係者・関係機関を図表に表わし、対象者と周囲の関係性を表すものであり、本人や周辺からの話や、客観的に見た状況を判断して関係性を記す為、個人の「判断」に基づき記すものとなります。
このように、対象とする関係や、事実に基づくかどうかなど、書き方に違いがあります。
エコマップは、1975年にハートマンにより考えだされ、対象者やその家族が現在どのような状況に置かれているのかを図式化して表わす方法として用いられます。
人が置かれている状況は、その時により変化していくものなので、作成時の日時を記し、その後の状況や支援によって変化したものを作成して、残していくという作業が必要です。繰り返し作成したものを記録しておくと、支援の記録にもなります。
エコマップがあると、支援対象者について、保育現場のみならず、各関係施設や関係者と話し合う際や引き継ぐ際にも、支援者についての現状を共通認識する為に活用できます。また、本人からの相談(例えば親からの相談等)の際に共に作成し、自身が置かれている立場を客観的に認識させる事もできます。
エコマップの記入は、ジェノグラムよりもシンプルで、○と○を線で結んで関係性を表します。関係性によって、線の種類を変えるのがポイントです。
普通の関係
関係が強い
関係が弱い
対立関係
働きかけの方向
ジェノグラムの中心に、支援対象者のみもしくは支援対象者のジェノグラムの家族を置きます。
【上記の状況】
実際に保育の現場でエコマップをつくる際は、エコマップの下に、関係機関の連絡先を表記し、何かあった時や引き継ぐ際にすぐに対応できるようにしておきます。
改めて見ても、にぎやかな一家ですね。関係性を考えると、やはり作成者の自己判断も入ってくるため、見方によっては違うエコマップとなるかもしれません。エコマップ作りの練習に、自分を対象に作ってみるのもおもしろいですね。自分の事ではない、対象者の状況を把握する為には、情報収集が欠かせず、日頃からの信頼関係づくりがとても大切になってきます。
何か物事を考える時に、手元に書いて文字や図形で表すと、頭の中で考えている事がすっきりするのと同じで、ジェノグラムやエコマップも、図に下記表わしてみる事で、複雑な関係性もシンプルに把握する事ができます。
子供達を取り巻く環境が複雑化し、なかなか重大な問題も表にでてこないがために、悲しい思いをしている子供達も多くなっています。
状況を把握するだけでなく、その後どうしていくかが重要です。
子供や保護者が助けを求めているシグナルを見落とさない様に、日頃から目を配り、気になる事があれば必要な支援へと結び付けられるよう、ジェノグラムやエコマップの活用を始めとしたソーシャルワークの考え方をより深く学んでいく事も、これからの保育者に求められているのかもしれません。